| 일 | 월 | 화 | 수 | 목 | 금 | 토 |
|---|---|---|---|---|---|---|
| 1 | 2 | 3 | 4 | 5 | 6 | 7 |
| 8 | 9 | 10 | 11 | 12 | 13 | 14 |
| 15 | 16 | 17 | 18 | 19 | 20 | 21 |
| 22 | 23 | 24 | 25 | 26 | 27 | 28 |
- zshrc error
- mysql
- cli
- 출력 명령어
- comdef
- 홈 디렉토리
- OpenSearch
- docker context create
- dfs
- 코드스테이츠
- MongoServerSelectionError
- fastify-cli
- Java 입력
- 프로세스
- ci/cd
- 웹 SW
- 설치형 SW
- neofetch
- docker
- 지속적 전달
- char 입력
- SSAFY입학
- ECS
- 부트캠프
- 백준
- fastify
- DevOps
- 리눅스
- 수직확장
- c++
- Today
- Total
다디와 괴발개발
[BOJ] 11403번 경로 찾기 - C++ 본문
문제
https://www.acmicpc.net/problem/11403
11403번: 경로 찾기
가중치 없는 방향 그래프 G가 주어졌을 때, 모든 정점 (i, j)에 대해서, i에서 j로 가는 경로가 있는지 없는지 구하는 프로그램을 작성하시오.
www.acmicpc.net
가중치 없는 방향 그래프 G가 주어졌을 때, 모든 정점 (i, j)에 대해서, i에서 j로 가는 경로가 있는지 없는지 구하는 프로그램을 작성하시오.
총 N개의 줄에 걸쳐서 문제의 정답을 인접행렬 형식으로 출력한다. 정점 i에서 j로 가는 경로가 있으면 i번째 줄의 j번째 숫자를 1로, 없으면 0으로 출력해야 한다.
풀이
입력 데이터를 바탕으로 그래프를 그려서 i 노드에서 j로 가는 경로가 있으면 1, 없으면 0으로 채워주는 문제.
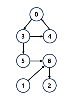
문제 이해를 위해 예제 입력 2를 바탕으로 그래프를 그려보면
| 행/열 | 0 | 1 | 2 | 3 | 4 | 5 | 6 |
| 0 | 0 | 0 | 0 | 1 | 0 | 0 | 0 |
| 1 | 0 | 0 | 0 | 0 | 0 | 0 | 1 |
| 2 | 0 | 0 | 0 | 0 | 0 | 0 | 0 |
| 3 | 0 | 0 | 0 | 0 | 1 | 1 | 0 |
| 4 | 1 | 0 | 0 | 0 | 0 | 0 | 0 |
| 5 | 0 | 0 | 0 | 0 | 0 | 0 | 1 |
| 6 | 0 | 0 | 1 | 0 | 0 | 0 | 0 |

이렇게 행렬에 대응하여 그래프가 그려지는 것을 확인할 수 있다.
문제 유형에는 플로이드 와샬 방법이 적혀있지만 나는 DFS로 풀었다
1. 각 노드별 DFS 실행
2. 노드별 DFS가 끝나면 방문 결과에 따라 원본 배열에 1 체크
평소 DFS 구조와 다른 것은 노드에서 최초로 DFS를 실행할 때, 다시 최초 실행 지점으로 돌아와야만 최초노드 -> 최초노드 경로가 있다는 뜻이므로, 최초 노드를 처음 방문할 때 visited를 true로 만들어주면 안된다.
그래서 방문할 다음 노드부터 visited를 true로 체크해주는 방식으로 해결하였다.
노드별로 DFS를 실행할 때, visited 배열을 초기화해야하므로 cstring헤더의 memset을 이용하여 false로 초기화해준 뒤 다시 DFS를 돌려준다.
코드
#include <iostream>
#include <cstring>
const int MAX = 101;
using namespace std;
int arr[MAX][MAX];
bool visited[MAX];
int n;
void dfs(int v) {
for (int i = 0; i < n; i++) {
if (!visited[i] && arr[v][i]) {
//최초 시작 노드는 방문을 체크해주면 안되니
//방문 여부를 그 다음 노드부터 체크하도록 해줌
visited[i] = true;
dfs(i);
}
}
}
int main() {
ios_base::sync_with_stdio(false);
cin.tie(0); cout.tie(0);
cin >> n;
for (int i = 0; i < n; i++) {
for (int j = 0; j < n; j++) {
cin >> arr[i][j];
}
}
for (int i = 0; i < n; i++) {
memset(visited, false, MAX);
dfs(i);
for (int j = 0; j < n; j++) {
if (visited[j]) arr[i][j] = 1;
}
}
for (int i = 0; i < n; i++) {
for (int j = 0; j < n; j++) {
cout << arr[i][j] << " ";
}
cout << "\n";
}
return 0;
}
삽질 & 개선점
문제를 똑바로 읽자ㅠㅠ 방향 그래프인데 무방향 그래프인줄 알고 양쪽으로 값을 넣어줘버리고 한참 삽질했다..
그래프 관련 문제를 풀 때는 꼭 방향 그래프인지 무방향 그래프인지 구분하고 문제를 풀 것!
'알고리즘 > C&C++' 카테고리의 다른 글
| [BOJ] 2606번 바이러스 - C++ (0) | 2022.03.13 |
|---|---|
| 백준 1152 : 단어의 개수 (C++ 문자열 분리) (0) | 2021.10.06 |
| C++로 Circular Queue (원형 큐) 구현하기 (0) | 2021.08.18 |
| C++로 스택 (Stack) 구현해보기 (0) | 2021.08.17 |
| 백준 1546번: 평균 (0) | 2021.08.12 |